Iloa ja ymmärrystä matematiikkaan!
Päivitetty 23.9.2022
© 2022 Hannele Ikäheimo
25.2.2007
HUOM! Voit tulostaa koko artikkelin Word-muotoisena tästä
1. Jakokulma ennen ja nyt 2. Aina ei tarvita jakokulmaa 3. Mistä ymmärrys jakolaskuun? 4. Kerto- ja jakolaskun välinen yhteys vahvaksi 5. Lukujen käsittelytaitoa tarvitaan 6. Ymmärrys jakolaskuun 7. Yhteenveto 8. Algoritmi
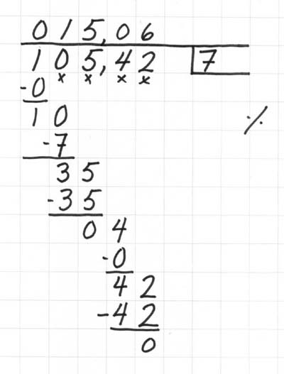
Aikaisemmin Suomessa oli käytössä italialainen jakolaskualgoritmi, jonka mukaisesti jakolaskuja laskettiin jakokulmassa seuraavasti:
105,42 : 7 = 15,06
Klikkaa kuvaa tai tätä linkkiä, niin näet jakolaskun animaationa.
Hyvänä puolena tässä jakokulmassa oli, että jaettava ja jakaja säilyttävät paikkansa eli jakaja on jaettavan oikealla puolella.
Ongelmaksi muodostui se, että osamäärään usein tuli desimaalipilkku väärään kohtaan tai nollat jäivät pois. Esimerkiksi edellinen lasku suoritettiin virheellisesti seuraavasti:
105,42 : 7 = 15,6
Klikkaa kuvaa tai tätä linkkiä, niin näet jakolaskun animaationa.
Näiden virheiden vuoksi Suomessakin vaihdettiin tämä tutuksi käynyt jakokulma 1970-luvulla anglo-amerikkalaiseen algoritmiin. Sen periaatteena on, että
Esimerkiksi lasku 105,42 : 7 = 15,06 suoritetaan seuraavasti:
Klikkaa kuvaa tai tätä linkkiä, niin näet jakolaskun animaationa.
Hyvänä puolena tässä jakokulmassa on se, että osamäärässä on helppo sijoittaa numerot ja desimaalipilkku paikalleen.
Huonona puolena on se, että jakaja sijoitetaan ”väärälle puolelle” jaettavaan nähden eli jakaja on jaettavan vasemmalla puolella. Tästä on seurannut paljon virheitä: oppilaat eivät aina tiedä, mikä luku on jaettava, mikä jakaja. Hahmotushäiriöiselle lapselle ongelma on todella suuri.
Virheitä on tullut myös siitä, että useimmissa oppikirjoissa ei ole suositeltu alkuperäistä sääntöä: jokaisen lukuyksikön yläpuolelle yksi numero. Tässäkin laskussa osamäärän ensimmäistä nollaa ei ole kehoitettu sijoittamaan satojen kohdalle. Tästä seurauksena on monien oppilaiden tekemä virhe: osamäärä sijoitetaan väärään kohtaan. Entä jos jaettavana olisi luku 1,0542? Silloin alkuun olisi laitettava nolla. Epäjohdonmukaisuus ohjeissa johtaa virheisiin.
Ruotsissa on edellä oleviin ongelmiin keksittiin ratkaisu: 1980-luvulta lähtien otettiin käyttöön toisenlainen jakokulma, jota kutsutaan kaatuneeksi tuoliksi (liggande stolen). Siinä jaettava ja jakaja säilyttävät paikkansa ja osamäärä merkitään jaettavan yläpuolelle niin, että jokaisen lukuyksikön yläpuolelle tulee yksi numero. Kokemukset tämän jakokulman käytöstä ovat voittopuoliseti hyviä – verrattuna esimerkiksi edelliseen "väärinpäin" olevaan jakokulmaan.
Esimerkiksi lasku 105,42 : 7 = 15,06 suoritetaan seuraavasti:
Klikkaa kuvaa tai tätä linkkiä, niin näet jakolaskun animaationa.
Suomessa ollaan vuonna 2005 muutamassa 4. luokan oppikirjassa ottamassa käyttöön jakolaskualgoritmi, joka on ollut käytössä esim. Saksassa ja Unkarissa iät ja ajat. Jakolaskua ei sijoiteta jakokulmaan, vaan jakolasku suoritetaan allekkain, vaiheittain ja lukuyksikkö kerrallaan sekä aloittaen suurimmasta lukuyksiköstä kuten ennenkin. Syynä uudistukseen on varmasti "väärinpäin" olevassa jakokulmassa tehdyt lukuisat virheet. Oppikirjoissa on ainakin aluksi molemmat jakolaskualgoritmit: nykyinen jakokulma (3. kuva ylhäältä lukien) ja tämä helppo oikotie suorittaa jakolasku allekkain (kuva alla). Opettajat valitsevat, kumpaa jakolaskualgoritmia luokassa käytetään.
Esimerkiksi lasku 105,42 : 7 = 15,06 suoritetaan seuraavasti:
Klikkaa kuvaa tai tätä linkkiä, niin näet jakolaskun animaationa.
Osamäärä merkitään jakajan oikealle puolelle yhtä suuri kuin -merkin jälkeen ja jokaista jaettavan lukuyksikköä vastaa osamäärässä yksi numero. Yläpuolella olevaan jakolaskuun on merkitty myös kirjaimin jokainen lukuyksikkö ja pilkku erottamaan ykköset (Y) ja kymmenesosat (ko).
Tämä tapa tulee herättämään paljon keskustelua: miksi ja miten? On tärkeätä, että opettajien, kouluavustajien ja sijaisten lisäksi myös vanhempia informoidaan uudesta tavasta suorittaa jakolaskuja. Television mahdollisuudet informaation välittäjänä kannattaa selvittää, ennenkuin kärpäsestä tulee härkänen. On tärkeää tajuta, että kaikissa edellä esitetyissä jakolaskualgoritmeissä on kyse samasta prosessista, merkintätavat vain vaihtelevat.
Lyhyt jakolasku on hyvä välivaihe siirryttäessä jakamaan suuria lukuja. Jaettava luku (2406) ja jakaja (2) sijoitetaan allekkain (tai vierekkäin) ja jakolasku suoritetaan lukuyksikkö kerrallaan. Luonnollista on ajatella jakolaskua ositusjakona.

tai
TSKY TSKY
2406 : 2 = 1203
Apuna kannattaa käyttää lukuyksikköjä tarkoittavia kirjainmerkkejä sekä jaettavan luvun yläpuolella että osamäärän yläpuolella (TSKY). Huomiota kiinnitetään myös sopimukseen, jonka mukaan jakaminen aloitetaan suurimmasta lukuyksiköstä; muissa peruslaskutoimitusten algoritmeissa eli allekkainlaskuissa aloitetaan pienimmästä lukuyksiköstä.
Pidempää suoritustapaa jakolaskussa (joko jakokulmaa tai jakolaskua allekkain) tarvitaan, kun jako ei mene tasan jonkin lukuyksikön kohdalla (esim. 1256 : 2 tai 1253 : 2).
Luokkien 3–5 matematiikan keskeisiä sisältöjä ovat mm.
Jakolaskua voidaan merkitä kahdella tavalla: kaksoispisteellä ja jakoviivalla, (joka on myös murtoluvuissa murtoviiva).
Esimerkiksi:

Opetussuunnitelman perusteissa ei oteta kantaa jakolaskun merkintään. Aikaisemmin sisältöjakoa merkittiin kaksoispisteellä ja ositusjakoa jakoviivalla. Tästä merkintöjen erilaisuudesta voi olla hyötyä, kun jakolaskun käsitettä opetetaan.
Mitä eroa on käsitteillä ositusjako ja sisältöjako? Kun käsitteitä opetetaan, käytetään konkreettisia tilanteita esimerkkeinä ja tilanteesta riippuu, kummalla tavalla ajatellaan. Otetaan kaksi esimerkkiä.
Ositusjako:
Kuusi karkkia jaetaan tasan kahdelle lapselle.
Kuinka monta karkkia kumpikin saa?
Kumpikin lapsi saa kolme karkkia.
Klikkaa kuvaa tai tätä linkkiä, niin näet jakolaskun animaationa.
Oheisesta ositusjakokuvasta saadaan myös kertolasku: 2 · 3 = 6
Sisältöjako:
Kuusi karkkia jaetaan tasan niin, että jokainen lapsi saa kaksi karkkia.
Kuinka monelle lapselle riittää karkkeja?
Kolmelle lapselle riittää.
Klikkaa kuvaa tai tätä linkkiä, niin näet jakolaskun animaationa.
Oheisesta sisältöjakokuvasta saadaan myös kertolasku: 3 · 2 = 6
Ositusjaon merkintä voisi olla:

ja sisältöjaon merkintä 6 : 2 = 3.
Jakolaskun käsite on tullut varmaksi, kun oppilas löytää yhdestä jakolaskusta molemmat jakolaskut ja osaa kertoa niihin sopivat tilanteet. Tätä käsitteen varmaa hallintaa tarvitaan myöhemmin myös luokilla 7–9, jolloin jakolaskun merkkinä käytetään etupäässä jakoviivaa.
Esimerkki 1.

Kuinka monta kertaa yksi neljäsosa sisältyy kahteen? Kahdeksan kertaa.
Kuinka monta neljäsosan pitsan palaa mahtuu kahteen koko pitsaan? 8.
Esimerkki 2.
1,5 : 0,5 = 3
Kuinka monta kertaa luku 0,5 sisältyy lukuun 1,5? Kolme kertaa.
Kuinka monta puolen litran limua mahtuu 1,5 litran limupulloon? Kolme.
Kun kertolasku opetetaan samanaikaisesti sisältöjaon kanssa, saadaan alusta lähtien yhteys kerto- ja jakolaskun välille.
Esimerkiksi 3 · 2 = 6 ajatellaan seuraavasti (ks. yllä oleva kuva): "kolme kertaa kaksi on yhtä suuri kuin kuusi".
6 : 2 = 3 ajatellaan sisältöjaon avulla seuraavasti (ks. yllä oleva kuva): "kuuteen sisältyy kaksi kolme kertaa" tai "kuuteen sisältyy kaksi kolmesti".
Tässä esimerkissä käytetään ajattelutapaa ja kieltä, josta on hyviä kokemuksia Varga–Neményi -metodissa. Voitaisiko Suomessa siirtyä lukemaan sisältöjakoa vasemmalta oikealle käsitteen oppimisen vaiheessa?
Varga–Neményi -metodi on Suomessa kokeilussa oleva matematiikan opetusmenetelmä, jota on kehitetty Unkarissa yli 40 vuoden ajan. Katso https://varganemenyi.fi/.
Jakokulmassa jakaminen on sinällään mekaaninen toimenpide, eikä sitä aikaisemmin edes yritetty saada ymmärrettäväksi toimenpiteeksi. "Jaa, kerro, vähennä" -ohje tuntui riittävän monelle. Monelle oppimishäiriöiselle oppilaalle tuo ohje kuitenkin saattaa kuulostaa samalta kuin "Kerro, jaa, vähennä" tms. Kun halutaan, että oppilaat ymmärtävät suurten lukujen jakamiseen liittyvää prosessia, on varmistettava heidän taitonsa käsitellä lukuja monipuolisesti. On tärkeätä osata pyöristää lukuja ja arvioida lukujen suuruusluokka. Taito käsitellä lukujen monikertoja liittyy kertotaulujen oppimiseen, joten kerto- ja jakotaulujen opettelu on tässäkin yhteydessä olennainen pohjataito. Tuekseen oppilas voi kirjoittaa jakajan monikerrat jakolaskun viereen, esimerkiksi:
0, 8, 16, 24, 32, 40, 48, 56, 64, 72, 80.
Jos jakajana on 2-numeroinen luku, tätä tukea voidaan myös hyödyntää:
0, 12, 24, 36, 48, 60, 72, 84, 96, 108, 120.
Jakolaskualgoritmit tuottavat monille oppilaille ongelmia, oppiminen on hidasta ja ymmärrystä prosessin eri vaiheista ei tunnu aina löytyvän. Ymmärrystä ei pääse syntymäänkään, jos jakokulmassa jakaminen suoritetaan pelkästään mekaanisesti. Kysytään "Kuinka monta kakkosta mahtuu seiskaan?" välittämättä siitä, mitä lukuyksikköä tuo seitsemän edustaa; sehän voi olla vaikkapa tuhansia tai miljoonia.
Hyviä kokemuksia on saatu, kun on aloitettu jakaminen konkreettisten välineiden avulla, esimerkiksi 10-järjestelmävälineiden tai opetusrahojen avulla. Kun jakajana on pieni luku, ositusjako on luonnollinen tapa ajatella ja oppilaat ymmärtävät alusta lähtien, mistä jakamisessa on kyse. Helpoissa jakolaskuissa (kuten 246 : 2) ei tarvita edes jakokulmaa, mutta helppojen laskujen sijoittaminen jakokulmaan auttaa siirtymistä vaikeampiin jakolaskuihin.
Esimerkki 1:
Laskun 246 : 2 = 123 voi tehdä ositusjaon avulla seuraavasti: 2 sataa ja 4 kymmentä ja 6
ykköstä jaetaan kahdelle henkilölle tasan. Kumpikin saa 1 satasen, 2 kymppiä ja 3 ykköstä.
Luvut 246 ja 2 sijoitetaan tavalliseen tapaan jakokulmaan puhe ja tekeminen konkreettisilla välineillä
(KOKEILE!) ovat täysin erilaiset verrattuna perinteiseen sisältöjaolla tapahtuvaan suoritukseen:
2 sisältyy kahteen 1 kerran, 2 sisältyy neljään 2 kertaa, 2 sisältyy kuuteen 3 kertaa.
Esimerkki 2:
Laskun 1306 : 2 = 653 voi tehdä ositusjaon avulla seuraavasti: 1 tuhat ja 3 sataa ja 0 kymmentä
ja 6 ykköstä jaetaan kahdelle henkilölle tasan. Kumpikin saa 0 tuhatta, 6 satasta, 5 kymppiä ja 3 ykköstä.
Luvut 1306 ja 2 sijoitetaan tavalliseen tapaan jakokulmaan, puhe ja tekeminen konkreettisilla välineillä
(KOKEILE!) ovat täysin erilaiset verrattuna perinteiseen sisältöjaolla tapahtuvaan suoritukseen:
2 sisältyy yhteen 0 kertaa, 2 sisältyy kolmeentoista 6 kertaa, 2 sisältyy kymppiin 5 kertaa ja 2 sisältyy kuuteen
3 kertaa.
Esimerkki 3:
Miten edellä useasti käsitelty lasku 105,42 : 7 = 15,06 puhutaan ja tehdään ositusjakomallin
ja opetusrahojen avulla?
105,42 € : 7 = 15,06 €
1 sadan euron seteli ja 0 kympin seteli ja 5 euron kolikkoa sekä 4 kymmenen sentin kolikot ja 2 sentin kolikot jaetaan kahdelle henkilölle tasan. Kumpikin saa 0 satasta, 1 kympin, 5 euron kolikkoa sekä 2 kymmenen sentin kolikkoa ja 1 sentin kolikon. (KOKEILE ITSE!)
Kun jakajana on suuri luku (jopa 2- tai 3-numeroinen luku), kannattaa käyttää sisältöjakoa sekä 10-järjestelmävälineitä tai rahoja.
Esimerkki 4:
1000 : 250 = 4
Kaksinumeroisilla luvuilla jakaminen liittyy usein käytännön elämän tarpeisiin.
Esimerkki 5:
Seinän leveys on 430 cm, kuinka monta tapettivuotaa tarvitaan yhteen seinään, kun vuodan leveys on 60 cm?
Vuota tarkoittaa rullan levyistä, katosta lattiaan asti ylettyvää tapetin palaa.
Esimerkki 6:
Seinän leveys on 430 cm, huonekorkeus on 250 cm. Vuota tarkoittaa rullan levyistä,
katosta lattiaan asti ylettyvää tapetin palaa. Kuinka monta vuotaa saadaan yhdestä tapettirullasta, kun yhdessä
rullassa on 11 metriä?
Esimerkki 7:
Miehellä on käytössään 876 euroa. Hän halusi palkata mahdollisimman monta koululaista kesätöihin puutarhaansa
viideksi päiväksi, juhannusviikolle. Palkkaa hän lupasi maksaa 150 € kullekin koululaiselle. Kuinka monta
koululaista mies pystyi palkkaamaan?
Luokilla 4–6 harjoitellaan lukuisia tunteja jakokulmassa jakamista; jaetaan jopa vaikeilla 2-numeroisilla luvuilla (esimerkiksi luvulla 57). Peruslaskutaito on hyvä saavuttaa, mutta hankalat mekaaniset laskut voi aina suorittaa laskimella – pääasia on asian ymmärtäminen. On hyvä tietää, että luokilla 7–9 jakokulmaa ei enää harjoitella.
♦ Kun oppilailla on runsaasti kokemuksia kerto- ja jakolaskun välisestä yhteydestä, onnistuvat jakolaskut varmemmin – olipa kyse pienistä, suurista tai hankalista luvuista, joita jaetaan.
♦ Lyhyt jakolasku suoritetaan parhaiten ositusjaon mallia hyväksi käyttäen, koska jakaminen tapahtuu lukuyksikkö kerrallaan. Kun siirrytään jakamaan suuria lukuja jakokulmassa (tai muussa jakolaskualgoritmin muodossa, esim. jakolasku allekkain), saadaan ymmärrys jakamiseen yksikkö kerrallaan ositusjaon avulla.
♦ Monet ongelmat jakokulmassa jakamisessa ovat syntyneet siitä, että on käytetty liian mekaanista tapaa jakaa: "Kuinka monta kakkosta mahtuu seiskaan?" Ongelmat ovat voineet syntyä myös siitä, että on käytetty sisältöjaon mallia ja puhetta, mutta oppilaat eivät ole hallinneet sisältöjaon käsitettä.
♦ Kun oppilaat ymmärtävät sisältöjaon käsitteen todella hyvin, niin he voivat käyttää jakolaskualgoritmissa sisältöjaon mallia ja puhetta.
♦ Kaikissa edellä esitetyissä jakolaskualgoritmeissä on kyse samasta prosessista, merkintätavat vain vaihtelevat. On siis kyse opetuksellisesta valinnasta: millainen jakolaskualgoritmi toimii parhaiten?
Algoritmi on yksiselitteinen toimintaohje sellaista tehtävää varten, joka suoritetaan vaiheittain ja usein myös toistuvasti. Myös Googlella löytää paljon esimerkkejä erilaisista algoritmeistä.
Peruslaskutoimitusten yhteydessä algoritmi on tuttu sanana "allekkainlasku”: vaikeita yhteen-, vähennys- ja kertolaskuja lasketaan vaiheittain allekkain. Yhteen- ja kertolaskuissa tulee joskus muistinumeroita, vähennyslaskussa joudutaan joskus lainaamaan. Jakolaskun yhteydessä algoritmi tunnetaan nimellä "jakokulma"; sen eri merkintätapoja on käyty edellä läpi. Jos ja kun jakokulmasta Suomessa luovutaan, voidaan puhua yhtenäisesti: yhteen-, vähennys-, kerto- ja jakolaskualgoritmi tarkoittaa allekkainlaskua.
Lue täältä myös kirjeenvaihtoa uudesta jakolaskutavasta.